1. Background
Catecholamines (adrenaline (A) and noradrenaline (NA)) are released from sympathetic nervous fibers endings (NA) and adrenal medulla (A and NA) (1, 2). NA is considered as a neurotransmitter and hormone and A is considered as a hormone (1). NA and A are indices of sympathetic nervous and adrenal medulla activity, respectively (1). A and NA play a key role in the adaptive responses to acute and chronic physical activity in human and animal species (3). A and NA regulate respiratory, cardiac, metabolic, and thermoregulatory functions at rest and during exercise (4). Catecholamines have lipolytic effect, stimulate glycogenolysis in the liver and skeletal muscles (5), decrease glucose utilization by non-active tissue via insulin suppression and mobilize fatty acids from adipose tissue during exercise (6). After recognizing the influential roles of calecholamines in the regulation of the metabolic and cardiorespiratory aspects of physical activity, attention was drawn to the effects of the exercise training on these molecules (7) and was found that chronic exercise training can induce marked adaptive responses in catecholamines. Comparison of trained and untrained subjects to detect the training effects is an effective method in the exercise physiology context. But, under resting conditions circulating catecholamines have been found to be not different in trained and untrained state (8). On the other hand, acute exercise has been shown to increase the body’s physiological needs and catecholamine response. Numerous studies have found A and NA secretion increase as exercise intensity increases (9, 10). Thus, investigators have conducted different exercise tests (submaximal, resistance exercise, and bicycle ergometer test) to study catecholamine response in trained and untrained human (11-15) or animal subjects (7, 16). Studies using these methods, have reported that hypertrophied adrenal medulla in trained subjects corresponds to a higher capacity to secrete catecholamine in response to exercise (1). Despite the conclusive results, nearly most studies in this field have widely used venous blood samples for determination of catecholamines, but this method may not always be a reliable indicator of sympatho-adrenal activity (17). Arterial catecholamines are responsible for most of the numerous actions of these molecules on the heart, the kidneys, and skeletal muscle (18). In addition, whether levels of the catecholamine in central circulation would be affected by exercise training is unknown.
Zouhal et al. identified duration and intensity of an exercise as main factors that alter the catecholamine responses (1), while there is still insufficient data for effective fluctuation of exercise duration and intensity to achieve improved catecholamine response .On the other hand, the researches to date have tended to focus on comparison of the catecholamine response in trained and untrained subjects. No research has been found that surveyed the effect of programmed endurance exercise, with different overloading patterns, on central blood (left ventricular) catecholamines.
2. Objectives
The aim of this study was to examine the effect of two different sinusoidal loading models of endurance training (daily sinusoidal loading pattern (DSL), weekly sinusoidal loading pattern (WSL) on left ventricular concentrations of A and NA after a bout of the lactate threshold test (LAT) in male wistar rats.
3. Materials and Methods
3.1. Animals
This study used 6-7 weeks old Albino Wistar rats (Pastor Institute, Tehran, Iran). 29 rats were divided into three equal weight groups (control (CON), n = 9, daily sinusoidal loading (DSL), n = 10 and weekly sinusoidal loading (WSL), n = 10. Animals were housed under environmentally controlled conditions (12 hour light/dark cycle; 23 ± 2°C) and food and water were available throughout the experiment. Animals were allowed to adjust to new condition for one week. The performed experiments conformed to guidelines of animal studies of the Pastor institute and were approved by the ethics committee of the university of Zanjan. The animals of CON group experienced the same experimental conditions (presence of the researchers, treadmill noise, etc.) as DSL and WSL groups, except running on the motorized treadmill (Shiraz, Iran). The animals of the control group were placed on the treadmill on a daily basis. Exposure duration was equal to the daily training volume in the experimental groups. The CON group undertook three days of treadmill familiarizing period ending 24 hours prior to the lactate threshold test (LAT).
3.2. Training Protocols
3.2.1. Endurance Exercise Training
The DSL group underwent 8 weeks, 5days a week progressive treadmill running exercise. At the first day of the 1th week, running duration and speed were set at 30 minutes and 14 m/minute, respectively. Then, sinusoidaly increased and reached the 60 minute and 30 m/minute up to the end of the 8th week. Sinusoidal variations of speed and duration were based on a daily pattern (Table 1).
The WSL group was also submitted into the 8 weeks progressive treadmill running exercise. At the first day of the 1st week, the running duration and speed set at 35 minute and 15 m/minute, respectively, and then, sinusoidaly increased and reached to the 60 minute and 30 m/minute up to the end of the 8th week. Sinusoidal variations of speed and duration were based on a weekly pattern (Table 1). The two experimental groups were rested two days a week (Thu, Sun). All the three groups were rested 24 hour prior to the LAT test. Training time (2-5 pm) was selected according to the catecholamine circadian rhythm (stability at 2-5 pm).
| Day Week | 1th | 2th | 3th | 4th | 5th | 6th | 7th | 8th |
|---|---|---|---|---|---|---|---|---|
| Model 1: DSL | ||||||||
| Mon | ||||||||
| Time, min | 30 | 35 | 45 | 35 | 50 | 55 | 45 | 55 |
| Speed, m/min | 14 | 17 | 22 | 17 | 22 | 27 | 22 | 27 |
| Tue | ||||||||
| Time, min | 35 | 45 | 50 | 45 | 55 | 60 | 50 | 60 |
| Speed, m/min | 15 | 20 | 25 | 20 | 25 | 30 | 25 | 30 |
| Wed | ||||||||
| Time, min | 40 | 40 | 40 | 40 | 45 | 50 | 40 | 50 |
| Speed, m/min | 16 | 19 | 24 | 19 | 24 | 29 | 24 | 29 |
| Thu | ||||||||
| Time, min | R | R | R | R | R | R | R | R |
| Speed, m/min | ||||||||
| Fri | ||||||||
| Time, min | 30 | 50 | 55 | 50 | 60 | 65 | 55 | 65 |
| Speed, m/min | 14 | 23 | 28 | 23 | 28 | 33 | 28 | 33 |
| Sat | ||||||||
| Time, min | 40 | 55 | 60 | 55 | 65 | 70 | 60 | 70 |
| Speed, m/min | 16 | 21 | 26 | 21 | 26 | 31 | 26 | 31 |
| Sun | ||||||||
| Time, min | R | R | R | R | R | R | R | R |
| Speed, m/min | ||||||||
| Model 2: WSL | ||||||||
| Mon | ||||||||
| Time, min | 35 | 45 | 50 | 45 | 55 | 60 | 55 | 60 |
| Speed, m/min | 15 | 20 | 25 | 20 | 25 | 30 | 25 | 30 |
| Tue | ||||||||
| Time, min | 35 | 45 | 50 | 45 | 55 | 60 | 50 | 60 |
| Speed, m/min | 15 | 20 | 25 | 20 | 25 | 30 | 25 | 30 |
| Wed | ||||||||
| Time, min | 35 | 45 | 50 | 45 | 55 | 60 | 50 | 60 |
| Speed, m/min | 15 | 20 | 25 | 20 | 25 | 30 | 25 | 30 |
| Thu | ||||||||
| Time, min | R | R | R | R | R | R | R | R |
| Speed, m/min | ||||||||
| Fri | ||||||||
| Time, min | 35 | 45 | 50 | 45 | 55 | 60 | 50 | 60 |
| Speed, m/min | 15 | 20 | 25 | 20 | 25 | 30 | 25 | 30 |
| Sat | ||||||||
| Time, min | 35 | 45 | 50 | 45 | 55 | 60 | 50 | 60 |
| Speed, m/min | 15 | 20 | 25 | 20 | 25 | 30 | 25 | 30 |
| Sun | ||||||||
| Time, min | R | R | R | R | R | R | R | R |
| Speed, m/min |
a Abbreviations: DSL, daily sinusoidal loading; R, rest; WSL, weekly sinusoidal loading.
3.2.2. Lactate Threshold Test (LAT)
Animals of the three groups undertook a LAT (30 minutes running on the treadmill, speed = 25 m/minute, inclination = 3%) 24 hours after the last exercise session (18).
3.3. Sample Collection
Immediately after LAT test rats were deeply anesthetized with diethyl ether; blood sample (3 mL) was collected from left ventricular using cardiac puncture method (19). Blood was collected in heparinazed tubes and was centrifuged at 5000 RPM for 10 minutes. Plasma was collected and stored at -70°C for catecholamine analysis. Noradrenaline and adrenaline were measured by ELISA kits (ELISA, CUSABIO, Hubei, China). Cardiac puncture is recommended for terminal stage of the study to collect a single volume of blood from the experimental animals. During blood sample collection, the animal will be in terminal anesthesia. Therefore, due to this limitation, a single blood sampling and single lactate threshold test was possible in this study.
3.4. Statistical Analysis
The results are presented in figures. Prior to statistical analyses, all data were tested for normal distribution using Kolmogorov-Smirnov test. Because A was skewed, the data were transformed by taking the natural logarithms of adrenaline to allow parametric statistical comparisons that assume normal distributions. One-way analysis of variance (ANOVA) and POST Hoc tests were used to compare A and NA concentrations after LAT test. Analysis was performed using SPSS version 19. Significance was accepted at P < 0.05.
4. Results
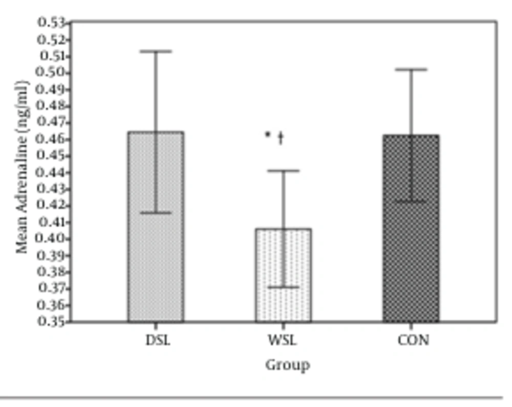
As shown in the Figure 1, left ventricular A concentrations were significantly (F (2, 26) = 3.42, P = 0.048) different in the three groups immediately after lactate threshold test. Interestingly, after LAT test, A was significantly lower in the WSL (0.46 ± 0.04 ng/mL) than in the CON (0.46 ± 0.03 ng/mL), (P = 0.01) and DSL (0.46 ± 0.04 ng/mL), (P = 0.01) groups (Figure 1). After LAT test, adrenaline concentration increased in DSL group, compared with CON, but did not reach to the significant (P > 0.05) level. The analysis of variance test did not show significant (P > 0.05) differences between NA concentrations of the three groups (WSL = 2.76 ± 1.9, DSL = 3.38 ± 1.9, CON = 3.3 ± 1/9 pg/mL) immediately after the LAT test (Figure 2).
5. Discussion
Methodological principles of endurance training for higher capacity to secrete catecholanimes are poorly understood. To our best of knowledge, this study was the first one which conducted two models of endurance exercise training using wistar rats to investigate the left ventricular catecholamine responses to a bout of LAT test. We used two models of the treadmill running exercise programs; one with daily duration and speed fluctuations (daily sinusoidal loading pattern (DSL)) the other with weekly duration and speed fluctuations (weekly sinusoidal loading pattern (WSL)). After 8 weeks of training, we assessed left ventricular plasma A and NA concentrations immediately after an LAT test in the control (CON), DSL and WSL groups. Compared with the CON and DSL groups, Adrenaline was significantly lower in the WSL group. A was not significantly different between CON and DSL group. It can be said that different models of the endurance training induced different left ventricular A response to the LAT test. Previous studies on the endurance trained human subjects reported controversial findings. Catecholamine response to exercise training has a rich literature with a long history. Several studies have reported greater plasma adrenaline concentrations in endurance-trained subjects compared to untrained in response to different stimuli (9, 10). It has been observed that endurance trained athletes have higher plasma A concentrations than untrained subjects in response to exercise at the same relative intensity (20, 21). Authors explain that when, for example, trained (VO2max = 60 mL/kg/minute) and untrained (VO2max =45 mL/kg/minute) subjects carry out an exercise with 60% of their VO2max; it is obvious that the trained subject needs a higher amount of O2 and substrates. An indication of higher sympathoadrenal activation and in turn a higher A concentrations in the trained subjects (1). Hypertrophied adrenal medulla and higher capacity to secrete catecholamine in the endurance trained subject (22), can meet the need for higher A concentration at the same relative work load. But this is not true when the same absolute work is done by trained and untrained subjects.
Some studies have reported lower plasma A concentrations in the trained than in the untrained subjects, when exercise test was carried out at the same absolute load which was sufficient to elicit catecholamine response (1). Considering the higher physical and physiological capacities of the trained subject, it is reasonable that the same absolute work load (for example, 30 minute treadmill run with a given speed) will be more challenging for untrained subject, and can induce elevated A response.
Immediately after the LAT test, A was significantly lower in the WSL group compared with the CON and DSL groups (Figure 1). Therefore, we think that the LAT test was less challenging in the WSL group than in the DSL and CON groups. A has effect in all of the major tissues involved in energy metabolism (23). This hormone stimulates the liver and skeletal muscle glycogen breakdown, glycolysis and lipolysis (23). Circulating A also causes increased heart rate, cardiac output, inotropy, vasodilatation in muscle and liver (24). Therefore, it can be said that the adrenaline levels of the three study groups are a reflection of the metabolic and cardiovascular demands of the LAT test (the same work load). Throughout the experiment, the mean training volume in week (duration and speed) was equal in the two groups (DSL and WSL) (Table 1). Throughout the experiment, Sinusoidal variation of training load was conducted on a daily basis (high frequency of the overloading) in the DSL group, while the variation was based on a weekly pattern in the WSL group. Studies indicate that more frequent loading of the training intensity can lead to an imbalance between physical stress and recovery and in turn to chronic fatigue (25). It has been reported that overreaching occurs when full recovery is not achieved for an extended time period (25). It is now thought that early stages of overtraining (overreaching) are typified by an increased catecholamine release in response to exercise, coupled with a decreased biological sensitivity of the catecholamine’s effects (26). Based on these mechanisms, it can possibly be said that the daily sinusoidal loading of exercise training inhibited the full recovery of the energy sources and induced chronic fatigue in the DSL group with the consequent increased left ventricular A response to a LAT test. While low frequency of the training intensity loading led to the full recovery of the energy sources during 8 weeks of the experiment and as a result the LAT test emerged as less challenging for WSL group.
We found no significant effect of two different methods of endurance training on left ventricular NA response to an LAT, which differs from Greiwe’s and Boone’s results (27, 28). They observed increased NA concentrations in response to intense and relative load in endurance trained compared with untrained subjects (27, 28). These discrepancies may stem from: 1) the different response to training stress in animal (in this study) and human subjects (in the other studies), 2) the different blood sampling techniques (left ventricular catecholamine versus peripheral catecholamine sampling), and importantly 3) different training protocols, 8 weeks (in this study) versus several years of endurance training (in the other studies).
In line with our finding, few studies found no differences between the NA concentrations of trained and untrained men in response to a submaximal exercise (29-32). Friedmann and Kindermann (33) reported that the NA responses to a bout of submaximal exercise are independent of subject’s physical activity level. We conducted lactate threshold test which was sufficient to induce exercise stress. We believe that, in the three study groups, the NA responses were similar to that of A response. But it is more likely this similarity was eliminated and tended to reach the resting level, due to the following mechanisms:
1) Noradrenergic cells in the adrenal medulla of rats do not essentially contribute to the NA content in plasma and that all NA in plasma originates from peripheral nerve endings of the sympathetic system (34). 2) The plasma half-life of NA is brief and increased plasma clearance is associated with enhanced sympathetic activity (35). It can probably be said that the rapid clearance of NA has removed the effects of exercise training.
In general, considering the different A responses in the DSL and WSL groups (Figure 1), decreased adrenal medulla activity in response to a given workload is observable in the WSL group. Blood concentrations of the A are reflection of adrenal medulla activity during exercise (34), which depends on the metabolic, cardiovascular and respiratory demands of exercise (36). Activation of adrenal system is considered as a hormonal response which alters energy metabolism (34). The adrenal system stimulates the hepatic glucose production, glycogenolysis, gluconeogenesis and fat utilization (34). In respect to these effects, it can be said that decreased adrenal medulla activity in response to a given workload in WSL group may reflect that the need for substrate utilization is also decreased. We think that decreased A response to LAT test is related to the effects of the weekly sinusoidal loading pattern which lead to the full recovery, energy sources regeneration and physical and physiological capacity improvement during the experimental period.
The results showed the weekly sinusoidal loading of 8 weeks endurance training can positively affect the left ventricular catecholamine response to a lactate threshold test. Being unable to conduct the pretest left ventricular blood sampling was the limitation of this study. Our results need to be confirmed in human subjects in future using arterial blood sampling method.

