1. Background
Aging is a biological phenomenon and a natural process during which many chronic diseases become more prevalent (1). In developed countries, aging describes people who are 65-years-old or older, while in developing countries, people over 60 years are considered elderly (2). The Louisiana Healthy Aging study classifies senior age groups as follows: 60 - 74 years as young old, 75 - 89 years as old-old, and 90 years or older as oldest-old (3). More than half of the world’s elderly population lives in Asia (4). The Iranian population is also moving toward aging, along with the world population. Statistics show that the Iranian elderly population has increased by 4.4 times from 1956 to 2006, while the country’s total population has increased by 3.7 times.
Studies suggest that in the future, the aging process of the Iranian population will continue to accelerate and Iran will be broadly facing the aging population phenomenon (5). The 2011 National Census of Population and Housing of Iran showed that the elderly population of the country has grown by about one percent compared to 2006, reaching 8.2%. Moreover, according to demographic estimations, the elderly population at the end of the 20-year Outlook will constitute 14.7% of the total population in Iran (6). Therefore, the increasing elderly population will be one of the most critical economic, social, and health challenges of the 21st century. As the elderly population grows, society may face serious problems associated with it, making aging, the peculiar conditions of old age, and the provision of mental health for the elderly as issues that require special attention (5, 7).
Depression is one of the major disorders of old age that occurs as a result of various factors related to this stage of life (8). Older adults feel that they have lost control of life as a result of external pressures, such as financial constraints and physical changes, including impaired vision and hearing. These issues can be accompanied by negative emotions such as sadness, anxiety, low self-esteem, and social isolation, where depression is the most significant psychological problem and the most severe and dangerous consequence of such emotions (9). Depression is a common psychological problem in older adults that is often overlooked, not diagnosed, and insufficiently and inappropriately treated. It, therefore, leads to a high mortality rate and can even be the leading cause of suicide in this population (10).
According to national and international studies, the prevalence of geriatric depression is estimated to be around 60%, which increases as people get inflicted with other diseases (7). The elderly living at home experience less depression than the elderly at nursing homes (11, 12). Loss of a loved one, sleep problems, physical disabilities, a history of depression, and even gender have been identified as important contributors to geriatric depression (13). Living alone is another factor affecting the mental health of older adults. Seniors living alone experience higher levels of depressive symptoms, irrespective of factors such as support of friends, interaction with friends, unpleasant life events, disability, and financial pressures (14).
As mentioned, various factors can contribute to the depression of the elderly, which often have complex interrelationships. Regression models with restrictive assumptions and finite patterns cannot identify such relationships. Nonetheless, today, Artificial Neural Network (ANN) models are able to compensate for these deficiencies and have become a viable alternative to conventional regression models in fields such as psychology, where variables are in a complex interrelationship (15).
2. Objectives
Therefore, in this study, we aimed to determine the extent to which the demographic variables of age, marital status, number of family members, income, employment status, homebound status, gender, place of residence (rural or urban areas), number of chronic non-communicable diseases, and ethnicity affect geriatric depression using the ANN model and to provide the best network for predicting depression. Hope is that it can provide the basis for future planning in this area.
3. Methods
We invited 1,477 older adults above 60 who were selected randomly from seven ethnicities (Persian, Lord, Kurd, Baloch, Turkman, Turk, and Arab) and did not experience a specific event or loss of a loved one during the past month to participate in the study. First, sufficient explanation was given about the purpose of the study and informed consent was obtained from those who were willing to participate in the study. The participants were asked to complete a demographic form and the Geriatric Depression scale. If the subjects were illiterate, the researcher completed the scale via interviews. The scale, first developed by Yesavage and Sheikh (16) consisted of 30 items. The scale asked the participants to answer the items according to their feelings over the past week. In 1986, a 15-item version was developed, which included yes = 1 and no = 0 answers. Items 1, 5, 7, 11, and 13 were inversely scored, where the answer no = 1 (17). The depression score equals the sum of the items’ scores. The score range of 5 - 8 indicates mild depression, a score between 9 and 11 represents moderate depression, and a score of 12 or above shows severe depression. The Persian version of the 15-item scale was prepared through translation-back-translation and matching the back-translation and original versions in 2006 (18). Cronbach’s alpha coefficient was 0.9, the split-half coefficient was 0.89, and the test-retest coefficient was 0.58 in the Persian version. Therefore, the translation used in this study has good reliability and validity.
3.1. Data Analysis
In this study, a feed-forward neural network model was used to determine the impact of the study demographic variables on predicting the depression severity in the participants. Accordingly, the data were randomly divided into two classes of training and testing at a 70:30 ratio. Afterward, the perfect transfer function was selected of one hidden layer network with 2, 3, 4, or 5 neurons and a combination of different transfer functions for the hidden and output layers. The impact of the number of hidden layers was assessed in a network with two hidden layers holding 2, 3, 4, or 5 neurons and the selected transfer function. Then, the effect of the number of neurons in the hidden layer was determined by changing the number between 1 and 51 for the neural network with the function and the number of layers selected in the preceding steps. Finally, the most straightforward neural network with the highest sensitivity and specificity was selected by the ROC curve (AUC) and the influence of factors was determined in the selected network. Data were analyzed using SPSS version 22 software.
4. Results
This study incorporated 1,477 participants aged from 60 to 92 years. The mean age of the study population was 69.36 ± 7.46 years. Men and women (56.9% versus 43.1%, respectively) and urban and rural residents (55.5% and 44.5%, respectively) had relatively similar ratios of participation (Table 1). The majority of participants were retired (79.9%) and had a monthly income of over 800,000 tomans. Married individuals constituted the largest number of participants (76.2%) and the number of household members varied from 1 to 13 persons. Although only 29.9% of the participants had no chronic disease, the proportion of homebound was only 16.4%. Overall, 30.9% of the subjects had mild depression, 2% had moderate depression, and 7.7% had severe depression.
| Variable | Values |
|---|---|
| Gender | |
| Male | 841 (56.9) |
| Female | 636 (43.1) |
| Marital status | |
| Single | 352 (23.8) |
| Married | 1125 (76.2) |
| Employment status | |
| Employed | 297 (20.1) |
| Retired | 1180 (79.9) |
| Income | |
| < 200 | 266 (18) |
| 200 - 400 | 289 (19.6) |
| 400 - 800 | 309 (20.9) |
| > 800 | 613 (41.5) |
| Homebound | |
| Yes | 242 (16.4) |
| No | 1235 (83.6) |
| Place of residence | |
| City | 819 (55.5) |
| Village | 658 (44.5) |
| Depression | |
| No | 685 (46.4) |
| Mild | 456 (30.9) |
| Moderate | 222 (15) |
| Sever | 114 (7.7) |
aValues are expressed as No. (%).
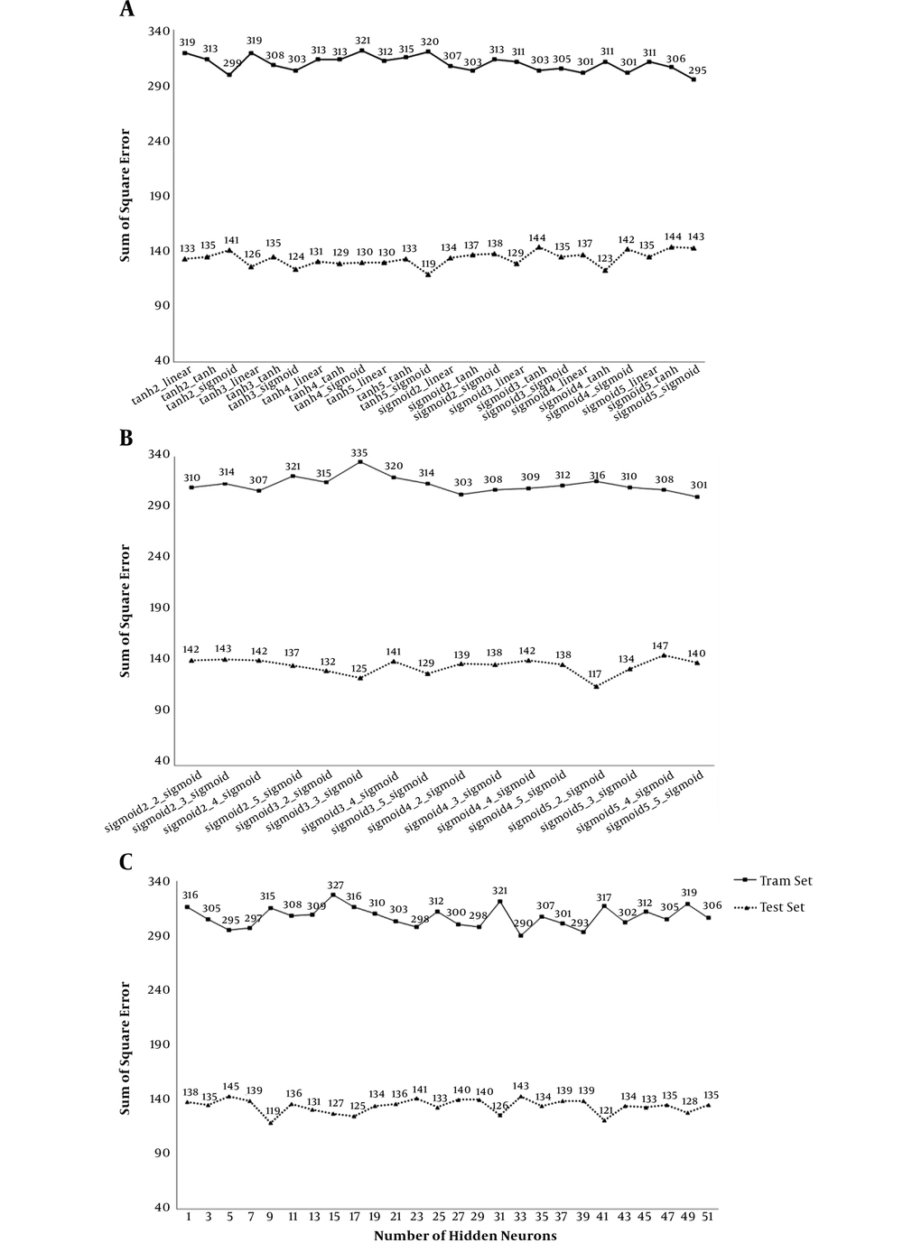
To select the appropriate neural network, we first evaluated all neural network combinations with 2, 3, 4, and 5 nodes and sigmoid and hyperbolic tangent functions in the hidden layer and hyperbolic tangent, linear, and sigmoid functions in the output layer. Figure 1A depicts the error sum of squares in the training and testing groups for these neural networks. As can be seen, the ANN model with the sigmoid transfer function in both hidden and output layers performed better than all the available models. However, a factor that affects the performance of the neural network is the number of hidden layers. To evaluate this issue in this study, we evaluated all neural networks with two hidden layers having 2, 3, 4, and 5 nodes and sigmoid functions in both hidden and output layers in Figure 1B. A comparison of the results in Figures 1A and 1B shows that the increased number of hidden layers could not affect the network fit significantly. Finally, in Figure 1C, we evaluated the effect of the number of nodes in the hidden layer on the performance of the neural network model. Therefore, a neural network with one hidden, two-node layer, and a sigmoid function in both hidden and output layers was the optimal neural network to predict geriatric depression using factors of age, marital status, number of family members, income, employment status, homebound status, gender, place of residence, number of chronic non-communicable diseases, and ethnicity. This network reduced the error sum of squares in training and testing sets to 290 and 143, respectively.
Figure 2 illustrates the importance of the variables under study in predicting the severity of depression in the optimal network. This figure clearly shows that in the optimal neural network, ethnicity, number of family members, number of chronic diseases, age, and income were five of the most effective variables (74.3%) in predicting geriatric depression, while gender, employment status, and residence were of little impact. To evaluate the neural network performance in predicting the level of geriatric depression, the sensitivity and specificity of this model at each depression level are illustrated in Figure 3. As the figure indicates, the optimal model could correctly identify healthy individuals with a sensitivity of 71.3% using these variables. The model could also detect different levels of geriatric depression with sensitivity above 62%.
5. Discussion
Depression in the elderly significantly increases the risk of death from illness. Even the risk of death following a heart attack increases among depressed patients. Therefore, early diagnosis and treatment of depression can be a useful step in improving the physical and mental health of the elderly. Nevertheless, the first step to improving depression is to identify the most effective contributors and try to relieve and reduce potential deficiencies. Numerous studies have been conducted to evaluate the effect of various factors on geriatric depression. In a review study of 21 articles, loneliness was identified as an important risk factor for geriatric depression (7). Another study found that greater family cohesion could reduce the risk of depression in the elderly (19). Studies also show that people whose spouse has passed away are more depressed than still married ones (7, 11, 20). Sajjadi et al. (7) and Rajabizadeh and Ramezani (20) also reported that geriatric depression increased with low income and poor socioeconomic status. Being homebound and not working outside the home are other risk factors (13, 21). Geriatric depression was not significantly associated with the place of residence (11). However, the number of chronic non-communicable diseases was found to be effective in increasing the risk of depression (22, 23). In Taiwan, several risk factors such as low education, loneliness, and low economic level were effective contributors to geriatric depression (24). In Greece, increased age, female gender, low education, being single, cognitive impairment, disabling gastrointestinal diseases, and neurological and cardiac disorders were identified as the risk factors for depression (25).
The present study assessed the first and most important factor affecting geriatric depression. The subsequent factors were the number of family members, the number of chronic diseases, age, and low income. However, being single, homebound, gender, employment, and residence had little effects on geriatric depression. There was a correspondence between the findings of our study and similar studies in terms of household size, income, age, chronic illness, and residence. Nevertheless, the variables of employment, being married, living at home, and gender were found to have no significant effect. The differences found between findings may be attributed to the inconsideration of the interaction between these variables in previous studies or differences between communities. Nonetheless, the novelty of the present study is the impact of ethnicity on depression, not yet evaluated in Iran. Our study revealed the significant impact of this variable in predicting depression. Therefore, the findings of this study suggest that a separate neural network should be designed for each ethnicity to predict the severity of geriatric depression.
5.1. Conclusions
The ANN method builds on the interactive effect between variables and, unlike the conventional regression methods, has no presumption. Therefore, the ANN model could determine the severity of geriatric depression 71% accurately by finding the pattern between the variables of age, marital status, number of family members, income, employment status, housing status, gender, place of residence, number of chronic non-communicable diseases, and ethnicity. In this study, this model could also classify the severity of depression in individuals although the ANN’s effectiveness can be increased by selecting more influential variables.


