Innovative Journal of Pediatrics
The Scientific Journal of Growth & Development Research Center
18
Feb
2025
Review Article
Loss and Bereavement: In Children
15
Mar
2025
31
Dec
2024
Research Article
Magnetic Resonance Imaging (MRI) Features and Diagnostic Accuracy in Pediatric Brachial Plexus Neuropathy: A Retrospective Analysis
Lili Zang,
Xiaomin Duan*,
Xiaoyan Zhang,
Jiexin Zhang,
Jie Wang,
Tong Yu
,et al.26
Dec
2024
17
Dec
2024
28
Dec
2024
24
Nov
2024
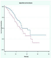
Research Article
Effects of Family-Centered Nursing on Psychological Well-Being and Quality of Life in Children with Severe Pneumonia in the Intensive Care Unit: A Prospective Study
Xiuxiu Zhu,
Jialai Yang,
Lijuan Yang,
Jinxiu Su*

