1. Background
The walking ceremony during the Arbaein Pilgrimage represents the largest peaceful human gathering, attracting over twenty million pilgrims from various countries each year. Beyond its profound spiritual significance, ensuring the health and well-being of pilgrims is critically important. Like all large gatherings, the Arbaein pilgrimage poses challenges such as the potential spread of diseases due to crowd density, inadequate hygiene, dust, high temperatures, and prolonged walking. A major concern for pilgrims is managing thirst, along with elevated body temperature, water loss, and dehydration resulting from extended hours of walking and excessive sweating. Consuming appropriate fluids can help reduce body temperature, quench thirst, and prevent dehydration (1).
Plum juice is recommended as a drink to combat heat-related issues. Its mineral content helps restore ionic balance and alleviates symptoms of thirst, heatstroke, and skin problems associated with high temperatures. The plum (Prunus subg. Prunus) is a single-seeded fruit that varies in size, color, and flavor (2, 3). It is recognized as a highly nutritious food, rich in vitamins, minerals, antioxidants, phenolic compounds, anthocyanins, carotenoids, and dietary fibers (4-6). With its unique composition, plums offer numerous health benefits, including relief from constipation, nausea, and fever, as well as lowering blood pressure, cholesterol levels, and reducing risks associated with cardiovascular diseases and diabetes (7-9).
During the processing of plums in Neyshabur, a significant amount of plum peel is produced. However, no significant application has been identified for this valuable by-product, which is typically discarded as waste (10). Given that plum peels contain beneficial compounds similar to those in the fruit itself, this study aimed to utilize black plum peel to develop a new product: Black plum peel syrup.
To ensure the safety of black plum peel, analyses were conducted to assess its nutritional profile, microbial quality, mineral content, heavy metal levels, and the presence of molds and pesticide residues. Various formulations of black plum peel syrup were prepared, with different percentages of black plum peel puree and pectin. Sensory evaluations were conducted to determine the optimal formulation.
2. Objectives
The objective of this study was to convert plum processing waste into a valuable beverage that could be beneficial in hot weather, helping alleviate heat-related issues and providing hydration during travel.
3. Methods
A mixture of black plum peels was initially collected from plum processing factories in Neyshabur. These peels were analyzed for chemical composition, antioxidant capacity, phenolic compound content, heavy metal concentrations, pesticide residues, and mold contamination. Chemical composition was determined by assessing protein content using the Kjeldahl method, lipids via the Soxhlet method, and total sugars using the Lane & Eynon method (11). Ascorbic acid content was quantified by mixing the black plum peel with a 4% oxalic acid solution and titrating with a 0.01% 2,6-Dichlorophenol-indophenol solution until reaching a stable pink endpoint (11). Crude fiber content was determined using the Weende method (12). Heavy metal concentrations were measured with a Varian AA240 atomic absorption spectrometer (11, 13), and pesticide residues were analyzed using high-performance liquid chromatography (HPLC) (Agilent Technologies, Part No: 5982–5550, USA) (14). Antioxidant activity was assessed by the DPPH radical scavenging method (15), with measurements conducted using a UV-VIS spectrophotometer (Jenway, Model 7315, UK). Total phenolic content was measured according to the Folin–Ciocalteu method, as outlined by Spanos et al.(16).
The black plum peel syrup formulations consisted of varying proportions of plum peel puree (40%, 50%, and 60%), 20% glucose syrup, 0.625% citric acid, and pectin (0%, 0.25%, and 0.5%). To produce the syrup, plum peel puree was prepared initially. Sugar and liquid glucose were then mixed, followed by the addition of the plum peel puree. This mixture was cooked, after which pectin was incorporated. Finally, citric acid was added to adjust the pH to below 3.2. The syrup was then cooled and filled into glass containers. Figure 1 illustrates black plums, black plum peel, and black plum peel syrup.
The various formulations of black plum peel syrup underwent sensory evaluation using a 9-Point Hedonic Scale, assessed by a panel of 20 trained evaluators to determine the optimal formulation. The selected formulation was further evaluated for overall acceptance by 100 consumers. Following this, the optimal formulation was analyzed to establish its chemical composition, rheological properties, and antioxidant capacity, creating a comprehensive product profile.
The chemical composition of the black plum peel syrup was assessed for pH, total soluble solids (Brix), total acidity (TA), and moisture content. Acidity was measured by titrating diluted samples with a 0.1 N sodium hydroxide solution, with results expressed as a percentage of citric acid. Total soluble solids (Brix) were determined using a refractometer (RHBO_80, Link, Fuzhou, China), and pH was measured with a pH meter (Sartorius PB_11, Göttingen, Germany). Moisture content was determined using an oven method (Fan-Azma-Gostar, Iran) at 70°C.
The rheological properties of the black plum peel syrup were evaluated using a Bohlin Visco 88 viscometer (Bohlin Instrument, Cirencester, UK), equipped with bob-and-cup geometry (bob length: Sixty mm; bob diameter: Fourteen mm; gap width: One mm) and a heating circulator (model F12-MC, Julabo Labortechnik, Seelbach, Germany). The apparent viscosity of the syrup was measured at a shear rate of 40/s at 25 ± 0.5°C. The time-independent flow behavior of the syrup samples was characterized using the power-law model (17).
4. Results
The panelists evaluated the sample containing 50% black plum peel with no added pectin, which received the highest scores for flavor, aroma, consistency, solubility, sweetness, and overall acceptance, identifying it as the superior sample. In a related study, Egbekun et al.(18) conducted a comparative analysis of the sensory properties of black plum syrup and honey, finding no significant differences in flavor scores or overall acceptance between the two products. This finding supports the potential of black plum syrup as a viable, nutritious sweetener substitute.
To assess consumer acceptance of the black plum peel syrup, the optimal sample was evaluated by 100 consumers. Feedback revealed that the syrup was perceived as a very good and acceptable new product.
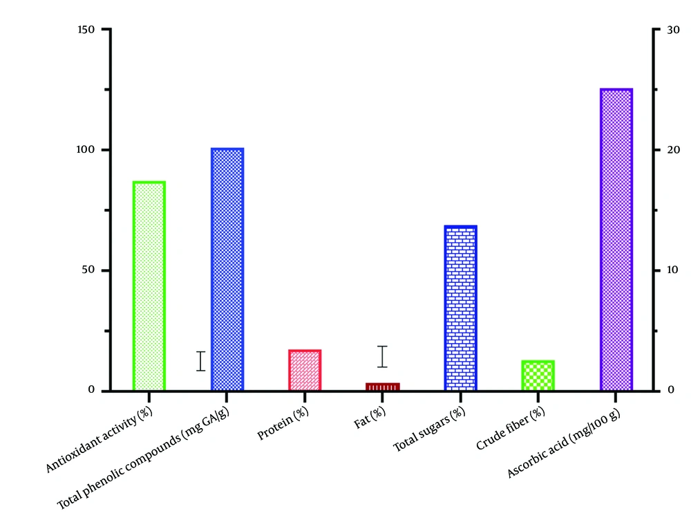
Figure 2 presents the physicochemical properties, phenolic compounds, and antioxidant capacity of the best sample of black plum peel syrup. The Brix, moisture content, acidity, and pH of this sample were recorded at 73.25%, 47.32%, 5.11%, and 2.93, respectively. Additionally, the apparent viscosity, consistency coefficient, and Flow Behavior Index were measured at 13.30 Pa.s, 5.79 Pa.sn, and 0.48, respectively. The antioxidant activity and phenolic compound content were found to be 10.92% and 0.66 mg/g GA, respectively (Table 1).
5. Discussion
The panelists rated the sample containing 50% black plum peel with no added pectin as the best, giving it the highest scores for flavor, aroma, consistency, solubility, sweetness, and overall acceptance. Egbekun et al. (18) investigated the sensory properties of black plum syrup, comparing it to honey, and found no significant differences in flavor scores or overall acceptance between the two. This suggests that black plum syrup could be an appealing, nutritious sweetener substitute.
To assess consumer acceptance, the optimal sample of black plum peel syrup was evaluated by 100 consumers. Feedback showed that the black plum peel syrup was well-regarded as a highly acceptable new product.
Figure 3 presents the physicochemical properties, phenolic compounds, and antioxidant capacity of the best sample of black plum peel syrup. The Brix, moisture content, acidity, and pH of this sample were measured at 73.25%, 47.32%, 5.11%, and 2.93, respectively. Additionally, the apparent viscosity, consistency coefficient, and Flow Behavior Index were recorded at 13.30 Pa.s, 5.79 Pa.sn, and 0.48, respectively. The antioxidant activity and phenolic compound content were determined to be 10.92% and 0.66 mg/g GA, respectively.
Egbekun et al. (18) reported a moisture content of approximately 20% for black plum syrup, which contrasts with the findings of this study. This discrepancy may be due to the formulation of plum syrup as a sugar substitute, which could require a lower moisture content. In their study, the viscosity of black plum (Vitex doniana) syrup at 30°C was recorded at 2.10 Pa.s. Similarly, Kunyanga (19) reported the chemical properties of cactus fruit syrup, documenting a pH of 3.2, acidity of 1%, and a total solids content of 7.5%. Additionally, Aamer (20) found the antioxidant activity and phenolic compound content in doum fruit syrup to range between 26.55% - 31.86% and 19.03–23.47 mg/100 g, respectively (Table 2).
| Pectin (%) | Black Plum Peel Puree (%) | Color | Consistency | Flavor | Odor | Solubility | Sweetness | Total Acceptance |
|---|---|---|---|---|---|---|---|---|
| 0 | 40 | 5.50 | 6.17 | 7.25 | 4.25 | 6.67 | 7.67 | 7.33 |
| 0 | 50 | 7.92 | 7.92 | 8.5 | 7.67 | 7.42 | 8.08 | 8.17 |
| 0 | 60 | 7.94 | 6.62 | 7.12 | 5.81 | 0.06 | 7.88 | 7.69 |
| 0.25 | 40 | 5.94 | 5.56 | 6.33 | 3.33 | 5.50 | 6.94 | 6.89 |
| 0.25 | 50 | 4.57 | 3.51 | 6.21 | 6.64 | 2.79 | 3.79 | 6.71 |
| 0.25 | 60 | 6.60 | 5.90 | 7.1 | 4.55 | 3.60 | 7.30 | 7.30 |
| 0.5 | 40 | 6.00 | 6.69 | 6.06 | 4.94 | 6.88 | 6.94 | 7.56 |
| 0.5 | 50 | 7.06 | 3.00 | 7.75 | 7.12 | 3.00 | 7.50 | 7.38 |
| 0.5 | 60 | 5.78 | 4.06 | 6.72 | 6.83 | 4.44 | 6.44 | 6.83 |
5.1. Conclusions
The findings of this research indicate that black plum peel holds substantial potential as a nutrient source for syrup production. Beyond its novelty as a food product, black plum peel syrup provides unique properties beneficial for reducing and regulating body temperature and preventing dehydration. Consequently, it serves as an ideal beverage choice for Arbaein pilgrims.


